什么是标准差?(定义、公式、作用及示例)
什么是标准差?(定义、公式、作用及示例)

前言
本篇旨在为撰写《安全库存、最小库存、最大库存的定义、公式、作用及示例》一文进行预备。在计算安全库存的过程中,必须对标准差进行计算。
一、标准差的定义
标准差是一种用于衡量数据离散程度的统计量,反映了一组数据相对于其平均值的分散情况。简单来说,标准差能让我们直观地了解数据的分布范围和波动程度。
在统计学中,数据的分布特征至关重要。均值代表了数据的集中趋势,而标准差则描述了数据的离散趋势。如果一组数据的标准差较小,那就表明这些数据紧密围绕在平均值周围,数据的一致性较高;反之,若标准差较大,则意味着数据较为分散,各个数据点与平均值之间的差异明显。
例如,在一个班级学生的身高数据中,若标准差较小,说明学生们的身高比较接近,整体身高分布较为集中;若标准差较大,就说明学生身高差异较大,有高有矮,分布较为分散 。标准差在各个领域的数据分析中都扮演着关键角色,帮助我们深入理解数据的内在特征。
二、标准差的计算公式
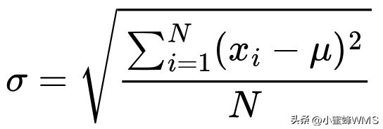
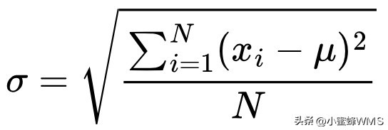
(一)总体标准差公式
对于包含所有数据的总体而言,标准差的计算公式为:

符号含义:
σ:代表总体标准差,它是衡量总体数据离散程度的关键指标。
Σ:是求和符号,表示对一系列数值进行累加操作。
xi:表示总体中的第i个数据值,其中i是从 1 到N的整数。
μ:为总体数据的平均值,它反映了总体数据的集中趋势。
N:是总体数据的数量,即总体中包含的数据点的总数。
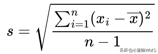
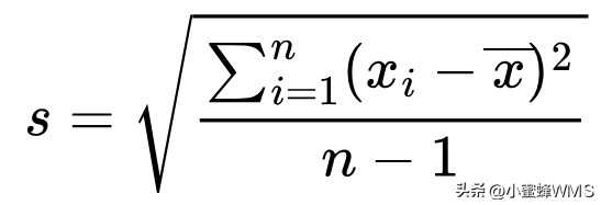
(二)样本标准差公式
当我们处理的是从总体中抽取的样本数据时,标准差的计算公式有所不同:

符号含义:
s:表示样本标准差,用于估计总体的离散程度。
xi:是样本中的第i个数据值 。
`x:代表样本数据的平均值,反映了样本数据的集中位置。
n:为样本数据的数量,即样本中包含的数据点个数。
这里分母使用n - 1而不是n ,被称为贝塞尔校正。这是因为在样本数据中,我们对总体的信息掌握有限,使用n - 1可以使样本标准差更好地无偏估计总体标准差,提高估计的准确性。
三、标准差的作用
(一)衡量数据的离散程度
标准差最核心的作用就是精准衡量数据的离散程度。通过计算标准差,我们能够清晰地知晓数据集中各个数据点与平均值之间的偏离情况。例如在产品质量检测中,如果一批产品的某项质量指标的标准差较小,那就表明这批产品的质量较为稳定,各个产品之间的差异不大;相反,如果标准差较大,则意味着产品质量参差不齐,存在较大的质量波动,需要对生产过程进行检查和调整。
(二)评估数据的稳定性和可靠性
在许多实际应用场景中,数据的稳定性和可靠性是至关重要的考量因素。标准差能够帮助我们有效评估数据的这些特性。在金融领域,股票价格的波动情况直接关系到投资者的收益和风险。通过计算股票价格的标准差,投资者可以直观地了解股票价格的稳定性。如果一只股票价格的标准差较小,说明其价格波动相对平稳,投资风险相对较低;而标准差较大的股票,其价格波动剧烈,投资风险也就相应较高。
(三)辅助数据比较和分组
标准差在不同数据集的比较中发挥着重要作用。当我们需要对比两组或多组数据的离散特征时,标准差是一个非常实用的工具。比如在教育领域,比较两个班级学生的学习成绩时,除了关注平均成绩外,标准差能让我们了解到哪个班级的成绩分布更为集中,哪个班级的成绩差异更大,从而为教学方法的调整和个性化辅导提供依据。在市场调研中,标准差也可用于对不同群体消费者行为数据的分析,帮助企业更好地进行市场细分和产品定位。
(四)为进一步统计分析提供基础
标准差是许多高级统计分析方法的基础数据。在进行假设检验时,我们需要根据样本数据的标准差来判断样本与总体之间的差异是否具有统计学意义;在构建置信区间时,标准差也是不可或缺的参数,它决定了我们对总体参数估计的准确程度;在回归分析中,标准差用于评估模型的拟合优度和误差大小,帮助我们判断模型的有效性和可靠性。因此,标准差为我们进行更深入、更复杂的统计分析提供了重要的基础信息。
四、标准差的重要性
(一)在统计学中的核心地位
标准差是统计学的核心概念之一,它与均值、中位数等共同构成了描述性统计的重要内容。在整个统计学体系中,标准差贯穿于各种统计方法和理论之中。无论是参数估计中对总体参数的推断,还是假设检验中对原假设的判断,亦或是方差分析中对不同组数据差异的分析,标准差都扮演着不可或缺的角色。它为我们理解和分析数据提供了关键的视角,是进行科学统计推断的基石。
(二)在决策制定中的应用价值
在商业、经济、工程等众多领域的决策过程中,标准差都具有极高的应用价值。企业在制定生产计划时,需要考虑产品质量数据的标准差,以确保生产的稳定性和产品质量的一致性;投资者在进行投资决策时,会参考各类资产的收益率标准差来评估风险,进而制定合理的投资组合策略;政府部门在制定宏观经济政策时,也会依据相关经济数据的标准差来分析经济运行的稳定性和波动性,为政策的制定提供科学依据。
(三)对研究和实验的重要意义
在科学研究和实验中,标准差对于评估实验结果的准确性和可靠性起着关键作用。科研人员通过分析实验数据的标准差,可以判断实验过程是否存在较大的误差,实验结果是否具有可重复性。如果实验数据的标准差较小,说明实验结果较为稳定、可靠,具有较高的可信度;反之,如果标准差较大,则需要对实验方法、仪器设备、操作流程等方面进行全面检查,找出可能导致数据波动的原因,以提高实验的准确性和科学性。
(四)在风险管理中的关键作用
在风险管理领域,标准差是衡量风险的重要指标之一。它能够帮助我们量化风险的大小,从而采取相应的风险控制措施。在金融风险管理中,标准差被广泛应用于衡量投资组合的风险水平。通过计算投资组合中各种资产的标准差以及它们之间的相关性,投资者可以准确评估整个投资组合的风险状况,并根据自己的风险承受能力进行合理的资产配置。在工程项目管理中,标准差可以用于评估项目进度、成本等方面的风险,帮助项目管理者提前识别潜在的风险因素,制定有效的风险应对策略,降低风险发生的可能性和影响程度。
五、如何计算标准差
(一)总体标准差的计算步骤
1)计算总体均值:
将总体中所有数据值相加,然后除以数据的总个数,即得到总体均值μ。
例如,对于总体数据3, 5, 7, 9, 11,总体均值μ=(3 + 5 + 7 + 9 + 11)/ 5 = 7。
2)计算每个数据值与均值的差值:
对于总体中的每个数据值xi,计算xi - μ。
以上述数据为例,差值分别为3 - 7 = -4, 5 - 7 = -2, 7 - 7 = 0, 9 - 7 = 2, 11 - 7 = 4。
3)计算差值的平方:
将每个差值进行平方,得到(xi - μ)2。
上述差值的平方分别为 (-4)2 = 16 ,(-2)2 = 4 ,(0)2 = 0 ,22 = 4 , (-42 = 16。
4)计算平方和:
将所有差值的平方相加,即

在这个例子中,平方和为16 + 4 + 0 + 4 + 16 = 40。
5)计算总体标准差:
将平方和除以总体数据的个数N,然后对结果取平方根,即

所以,该总体的标准差
σ = √(40/5)= √8≈ 2.83。
(二)样本标准差的计算步骤
样本标准差的计算步骤与总体标准差类似,但在最后一步有所不同。
1)计算样本均值:
将样本中所有数据值相加,再除以样本数据的个数,得到样本均值`x。例如,对于样本数据 2, 4, 6, 8 ,样本均值`x = (2 + 4 + 6 + 8)/4 = 5。
2)计算每个数据值与均值的差值:
计算xi -`x,差值分别为 2 - 5 = -3 , 4 - 5 = -1 , 6 - 5 = 1 , 8 - 5 = 3 。
3)计算差值的平方:
得到(xi -`x)2,分别为(-3)2 = 9, (-1)2 = 1 , 12 = 1 , 32 = 9 。
4)计算平方和:
将所有差值的平方相加,即

此例中平方和为9 + 1 + 1 + 9 = 20 。
5)计算样本标准差:
将平方和除以样本数据个数减 1(即n - 1),然后取平方根,即

所以,该样本的标准差
S=√(20/(4-1))=√(20/3)≈2.58。
在实际计算中,我们可以借助统计软件(如SPSS、R、Python中的相关库)或电子表格软件(如Excel)来快速准确地计算标准差,提高计算效率和准确性。
六、标准差示例
学生成绩分析:
假设有两个班级的英语考试成绩如下:
一班:75,80,85,90,95
二班:60,70,80,90,100
1)计算一班成绩的相关数据:
均值:
`X1=(75+80+85+90+95)/=85
标准差:
S1=√(((75-85)2 + (80-85)2 + (85-85)² + (90-85)² + (95-85)²) / (5-1))
=√(((-10)² + (-5)² + 0² +5² +10²) / 4)
=√((100 + 25 + 0 + 25 + 100) / 4)
=√(250 / 4)
=√62.5
≈7.91
2)计算二班成绩的相关数据:
均值:
`X2 = (60+70+80+90+100) / 5 = 80
标准差:
S2 =√(((60-80)² + (70-80)² + (80-80)² + (90-80)² + (100-80)²) / (5-1))
=√(((-20)² + (-10)² + 0² + 10² + 20²) / 4)
=√((400 + 100 +0 + 100 + 400) / 4)
=√(1000 / 4)
=10
从计算结果可以看出,一班成绩的标准差约为7.91,二班成绩的标准差为10。这表明一班学生的成绩相对更为集中,围绕平均值的波动较小;而二班学生的成绩分布更为分散,学生之间的成绩差异较大。教师可以根据这些数据调整教学策略,对于一班可以注重培优,对于二班则需要加强对基础薄弱学生的辅导。
七、常见问题
1、标准差与方差有什么关系?
方差是标准差的平方,即标准差是方差的平方根。方差和标准差都用于衡量数据的离散程度,它们的作用相似,但标准差的单位与原始数据的单位相同,这使得标准差在实际应用中更具直观性,更便于理解数据的离散程度相对于原始数据的意义。而方差由于单位是原始数据单位的平方,在解释上相对不那么直观。
2、标准差为“0”意味着什么?
标准差为0表示数据集中所有的数据值都完全相同。因为标准差衡量的是数据相对于平均值的离散程度,如果所有数据都一样,那么它们与平均值的差值都为0,经过计算得到的标准差也就为0。例如数据集 5, 5, 5, 5 ,其标准差就是0。
3、标准差越大越好还是越小越好?
标准差的大小优劣不能一概而论,这取决于具体的应用场景和分析目的。在一些需要数据稳定、一致性高的场景中,如产品质量控制、精密仪器制造等,较小的标准差意味着产品质量稳定、性能可靠,是更理想的状态;而在某些情况下,如风险投资领域,较大的标准差可能意味着有更大的潜在收益空间,对于风险偏好较高的投资者来说,可能会更关注标准差较大的投资标的。所以,需要根据具体情况来评估标准差的大小是否合适。
4、样本标准差与总体标准差的区别只是公式上分母不同吗?
样本标准差与总体标准差在公式上分母确实存在差异,总体标准差公式分母是总体数量 N ,样本标准差公式分母是样本数量减1,即 n – 1 。但它们的区别不止于此。总体标准差是对整个总体数据离散程度的精确度量,反映的是总体的真实情况;而样本标准差是基于从总体中抽取的样本数据来计算的,目的是通过样本去估计总体的离散程度。由于样本只是总体的一部分,存在一定的随机性和不确定性,使用 n – 1 作为分母进行贝塞尔校正,能使样本标准差更无偏地估计总体标准差,减少因样本选取带来的偏差。
5、在实际应用中,如何选择使用总体标准差还是样本标准差?
如果能够获取到整个总体的数据,并且关注的是总体的离散特征,那么就使用总体标准差。例如,统计一个班级全体学生的某次考试成绩的离散程度,因为班级学生数量是有限且已知的总体,此时用总体标准差合适。但在大多数情况下,获取总体的全部数据往往比较困难或者成本过高,只能抽取样本进行分析,这时就需要使用样本标准差来估计总体的离散程度。像要了解某地区居民的收入水平离散情况,由于地区居民数量庞大,不可能调查到每一个人,只能抽取部分居民作为样本,这种情况下就用样本标准差。
6、标准差会受到极端值的影响吗?
标准差会受到极端值的显著影响。因为标准差的计算涉及到每个数据值与均值的差值平方,极端值(极大值或极小值)与均值的差值会比较大,经过平方后对标准差的贡献就更大。例如,一组数据原本是 10, 12, 14, 16, 18 ,计算出的标准差较小,数据相对集中;但如果加入一个极端值,如 100 ,新的数据组变为 10, 12, 14, 16, 18, 100 ,重新计算标准差会发现数值大幅增大,这表明数据的离散程度被显著夸大,而这就是极端值的影响。在分析数据时,如果存在极端值,需要谨慎考虑其对标准差的影响,必要时可对极端值进行特殊处理或单独分析。
------------------------------
【声明】:SmartWMS天津小蜜蜂,所发文章仅供大家学习参考,请不要作商业用途,转载请标明出处;仓储管理系统的专业性很强,文中难免有错误,一旦发现,请联系我们及时更正;如有侵权、也请告知我们立即删除。
小蜜蜂WMS专注智慧仓储管理15年,坚持传播仓储管理知识,无人值守自助领料智慧仓储管理系统,为用户降本增效;系统基于B/S架构,建构了仓储管理所需的完整功能,也可根据客户要求增加定制开发,系统提供OpenAPI,能够对接常用的管理信息系统,系统广泛应用于国内外各行各业。
-
- 首任故宫院长易培基被控告卖文物,他却说自己冤枉,真相是什么
-
2026-01-01 09:44:55
-
- 埃航遇难中国乘客身份公布 埃航坠机现场图 坠机原因是什么
-
2026-01-01 09:42:51
-
- 什么是闽侯?
-
2026-01-01 09:40:47
-
- “风水大师”孙英雄:靠风水发家,自曝日入千万,究竟是什么来头
-
2026-01-01 09:38:42
-
- 目前全球最年轻的12位总统,27岁做总统,看完你有什么感受?
-
2026-01-01 09:36:38
-
- 古代宴会上常见的“酃酒”,到底是什么酒?
-
2026-01-01 09:34:34
-
- 什么是工装裤?工装裤配什么鞋好看?
-
2025-12-31 15:04:35
-
- 脉冲信号是什么?它有什么特点和用途呢?
-
2025-12-31 15:02:30
-
- 什么洗面奶好用?肌肤的“营养师”:洗面奶的护肤力量
-
2025-12-31 15:00:26
-
- 初恋是什么感觉?
-
2025-12-31 14:58:21
-
- 司机冷知识:前两年的高速新规,不按规车道行驶的处罚标准是什么
-
2025-12-31 14:56:17
-
- 被闪电击中是什么感觉?
-
2025-12-31 14:54:12
-
- “救人一命胜造七级浮屠”中“浮屠”是指什么?为什么是七级呢?
-
2025-12-31 14:52:08
-
- 什么是老破小房子?老破小房子有哪些缺点?
-
2025-12-31 14:50:04
-
- 继太钢之后,太原富士康确定要搬迁晋城,这背后释放出什么信号?
-
2025-12-31 14:48:00
-
- 成吉思汗和忽必烈之间到底是什么关系?大部分大学生居然都不清楚
-
2025-12-31 14:45:55
-
- 驾驶农用三轮车需要什么驾驶证
-
2025-12-31 02:13:46
-
- 何猷君的爸爸何鸿燊是什么样的人?这些人已经没了他的样子!
-
2025-12-31 02:11:41
-
- 您了解什么是海扶刀吗?
-
2025-12-31 02:09:37
-
- 在法兰西第四共和国的灭亡的时刻,美国做了什么?
-
2025-12-31 02:07:33



吴冕丈夫高原照片高清(演员吴冕相册)
几名男女在KTV的不雅视频被曝光!网友纷纷大呼:你怎么敢!
王小波妻子李银河年轻时的照片 图解先锋主义者的恋爱故事
黄精泡水喝竟有6个害处(黄精泡水喝有什么禁忌)
快手第一眉毛杀美女:绝世的陈逗逗
b站入口在哪(B站官网入口)
整篇都是车的古言文章 高质量古言甜宠好文
两个奶头被吃到高潮什么感觉 男人怎么吸吮女人奶头
青梅竹马是消防员第一季樱花未增删翻译中(青梅竹马是消防员接档顺序)
唐山4位钢铁大佬,咋样了?都进入了500强、富豪榜,2人英年早逝