红色家书·叶天底:我决不愿跪着生,情愿立着死
红色家书·叶天底:我决不愿跪着生,情愿立着死

叶天底(1898—1928)
叶天底,上虞人。1916年考入浙江省立第一师范学校,1920年加入上海社会主义青年团,是中国社会主义青年团的创建人之一。1923年加入中国共产党,1927年11月参与组织浙东暴动,1928年2月3日二次被捕,同月8日在杭州浙江陆军监狱牺牲。
叶天底给母亲的遗书
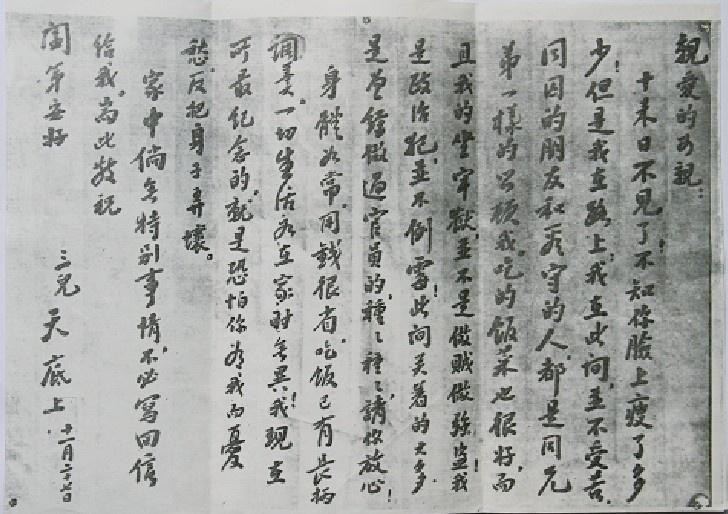
亲爱的母亲:
十来日不见了,不知你脸上瘦了多少。但是我在路上、我在此间并不受苦。同囚的朋友和看守的人都是同兄弟一样的照顾我,吃的饭菜也很好。而且我的坐牢狱,并不是做贼做强盗,我是政治犯,并不倒霉。此间关着的大多是曾经做过官员的,种种、种种请你放心!
身体如常,用钱很省,吃饭已有长柄调羹。一切生活如在家时无异。我现在最纪念的就是恐怕你为我的忧愁反把身子弄坏。
家中倘无特别事情,不写回信给我。耑此敬祝
阖第安好!
三儿天底上
十一月二十七日

叶天底1927年11月在杭州浙江陆军监狱给母亲写的信
这是叶天底1927年11月在上虞被捕,不久被转押到杭州浙江陆军监狱后给母亲写的信,表达了思念亲人的心情和请母亲放心的孝心。
叶天底写给大哥的遗书
大哥:
我决无生路,不死于病,而死于敌人之手。大丈夫生而不力,死又何惜。先烈之血、主义之花。但我放心不下的母亲,希望你代我尽责,扶养母亲。我决不愿跪着生,情愿立着死。
请你转告念先,他是幼年失了母亲的人,我的母亲是非常爱怜他的。我在希望他,在我生时一样的看待我母亲。他现在既不能回上虞,又无处存身。我希望他投奔费德兴之处存身。李、罗二同志是最英雄、最忠实的同志,不要以我死而灰心,继续奋斗。因时间关系,不能多写。从此永诀。
你的弟弟最后一书信
天底
一九二八年二月三日

叶天底1928年在浙江陆军监狱写给大哥的遗书
这是叶天底1928年2月3日被捕,在浙江陆军监狱写给大哥的遗书,反映了他对家人的牵挂和不舍,以及铮铮铁骨、献身革命的情怀。同月8日,叶天底在浙江陆军监狱牺牲。
-
- overlord:玩家跟异世界生命的结晶-“绝死绝命”
-
2025-10-19 14:51:19
-
- 苹果xr跟x对比
-
2025-10-19 14:49:04
-
- 古力娜扎深夜直播跳舞 跳一半胸口纽扣崩开,真以为没男粉?
-
2025-10-19 14:46:49
-
- 邓紫棋以蜂鸟音乐解约,真为邓紫棋感到不平衡
-
2025-10-19 14:44:34
-
- 为什么不建议疤痕体质打耳洞 疤痕体质哪些事情不能做
-
2025-10-19 14:42:19
-
- 女人婚内出轨,夜晚睡觉会有这几种表现
-
2025-10-19 14:40:04
-
- 风靡潮汕的甘草水果
-
2025-10-19 14:37:49
-
- 仓鼠香腺如何清理?仓鼠的香腺在什么位置?
-
2025-10-19 14:35:34
-
- 虾类养殖:方法与关键注意事项
-
2025-10-18 12:12:26
-
- 澳洲Slip、英国IN ESSENCE……为了睡眠,中国人要买下整个世界
-
2025-10-18 12:10:09
-
- 中国铁建大桥局牵头21家公司组成超级联合体
-
2025-10-18 12:07:50
-
- 劲爆消息!广湛高铁经过阳春,在春城设站或明年动工建设
-
2025-10-18 12:05:34
-
- 身长了一个小肉粒 脖子上长了小肉粒怎么回事?
-
2025-10-18 12:03:15
-
- 各国世界第一美女大比拼,盘点各个国家最漂亮的美女
-
2025-10-18 12:00:59
-
- 黄金三靶之金闪闪!FGO人物志:NO.12吉尔伽美什
-
2025-10-18 11:58:43
-
- 18张图片,揭示人性善与恶,你想要的答案在其中吗?
-
2025-10-17 15:24:50
-
- 广西最大跨海大桥,宛若巨龙横跨海面,简直可与港珠澳大桥相比
-
2025-10-17 15:22:35
-
- C罗落泪之后……
-
2025-10-17 15:20:20
-
- 9款女人味十足的短发烫发,个性优雅蓬松自然!
-
2025-10-17 15:18:05
-
- 准备一把红薯粉,做上一碗酸辣粉,酸辣爽口真解馋,吃了还想吃
-
2025-10-17 15:15:50



一条烟不开封可以放多久?
中国著名相声演员姜昆简历
彭冠英张含韵被曝结婚:低调的幸福爱情婚姻,或许与她的经历有关
王治郅的妻子周蕾,身材高挑 才貌双全 照片欣赏
范冰冰不雅图片 范爷大尺度裸身戏遭曝光
扎西顿珠视为信仰的宗庸卓玛与平凡丈夫的爱情,七年卧床不离不弃